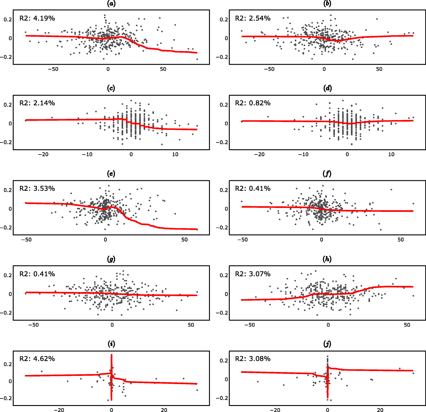
Fig. 5
From: Systemic lupus Erythematosus and geomagnetic disturbances: a time series analysis

Short-Term Kernel Regressions (27-day differences). a Scatter plot of ΔPGAt vs ΔRt. b Scatter plot of ΔPGAt vs ΔRt-1. c Scatter plot of ΔPGAt vs ΔAPt. d Scatter plot of ΔPGAt vs ΔAPt-1. e Scatter plot of ΔPGAt vs ΔF10.7t. f Scatter plot of ΔPGAt vs ΔF10.7t-1. g Scatter plot of ΔPGAt vs ΔAUt. h Scatter plot of ΔPGAt vs ΔAUt-1. i Scatter plot of ΔPGAtvs ΔPFt. j Scatter plot of ΔPGAt vs ΔPFt-1.